The zero-volatility spread, or Z-spread, of a bond is a measure that shows the difference between the bond's yield and the yield of a benchmark, such as the Treasury curve. It takes into account all the cash flows received from the bond and provides an estimate of the bond's fair value. The Z-spread is also known as the static spread and is used by analysts and investors to identify pricing discrepancies in a bond.
Basics
In financial analysis, the zero-volatility spread assumes a pivotal role as the consistent margin ensuring the equilibrium of a security's price with the sum of its cash flows, factoring in the yield at every juncture on the spot rate Treasury curve where cash inflow transpires. Effectively, this entails discounting each cash flow at the relevant Treasury spot rate augmented by the Z-spread. Widely acknowledged as a static spread, the Z-spread underscores its significance in the valuation dynamics of financial instruments.
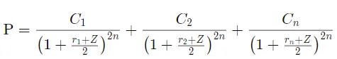
Zero-Volatility Spread Formula and Calculation
Deriving the Zero-Volatility Spread necessitates a systematic approach. An investor can calculate the Z-spread by incorporating it into the Treasury spot rate relevant to each maturity. This augmented rate is the basis for determining the bond's price through discounted cash flows. The formula for Z-spread is succinctly represented as follows:

where:
- P = Current price of the bond plus any accrued interest
- Cx = Bond coupon payment
- rx = Spot rate at each maturity
- Z = Z - spread
- n = Relevant time period
Illustratively, consider a bond priced at $104.90 with future cash flows of $5 next year, $5 two years from now, and a final payment of $105 in three years. The Treasury spot rates at the corresponding maturities are 2.5%, 2.7%, and 3%. The computations unfold as follows:

With the correct Z-spread, this simplifies to:

This showcases the Z-spread as 0.25% in the given scenario.
Insights From Zero-Volatility Spread Analysis
Distinguishing itself from nominal spread calculations, the Zero-Volatility Spread provides a unique perspective. Unlike nominal spread, which relies on a solitary point on the Treasury yield curve, Z-spread utilizes the spot-rate Treasury yield curve. This methodology ensures that the calculated spread aligns with the present value of a security's cash flows relative to its price.
For analysts, the Z-spread proves invaluable in identifying pricing discrepancies in bonds. By assessing the spread across the entire Treasury yield curve, the Z-spread offers a more comprehensive valuation perspective, transcending the limitations of single-point metrics tied to factors like a bond's maturity date.
Conclusion
The zero-volatility Spread is a crucial metric for evaluating bond performance. Its ability to gauge the disparity between a bond's yield and a benchmark, such as the Treasury curve, provides a nuanced understanding of a security's fair value. Referred to as the static spread, the Z-spread aids analysts and investors in uncovering bond pricing irregularities. By utilizing the spot-rate Treasury yield curve, the Z-spread offers a comprehensive valuation approach, surpassing the constraints of single-point metrics and enhancing the accuracy of bond assessments in the dynamic financial landscape.